Dirac-Majorana neutrino type conversion induced by an oscillating scalar dark matter
- Physics Tomorrow

- May 30, 2023
- 2 min read
ABSTRACT
Some properties of a neutrino may differ significantly depending on whether it is Dirac or Majorana type. The type is determined by the relative size of Dirac and Majorana masses, which may vary if they arise from an oscillating scalar dark matter.
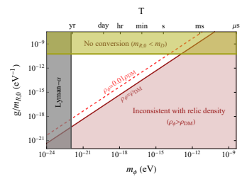
One of the unrevealed properties of the neutrinos is whether they are Dirac type or Majorana type. Some important physics occur only for the Majorana type; the leptogenesis that can explain the baryon asymmetry of the universe (BAU) and the seesaw mechanism that can explain the smallness of the neutrino masses. Experiments such as neutrinoless double beta decay can expect signals only for the Majorana neutrinos. The true nature of the neutrinos may not be simple enough to identify them as either Dirac or Majorana type, though. It is especially so in view that the properties of dark matter, which is another mystery in particle physics, are also unrevealed. It is quite possible that neutrino and dark matter are tightly linked, affecting each other. Especially, the Majorana neutrino requires a Majorana mass, which might originate from dark matter. In this letter, we propose a new scenario in which the dark matter may convert the type of neutrinos, adopting a slowly oscillating scalar dark matter whose value serves as the Majorana mass. We show the oscillation can be large enough to change it back and forth between the Dirac and Majorana types while satisfying all the constraints for dark matter. Interestingly, the scenario provides distinct phenomenology both in the present-time neutrino phenomenology and early universe physics. Coupling an oscillating scalar field to vary the particle mass is not new, including the neutrino masses [1–7]. Previous works on neutrinos with varying Majorana mass via ultra-light dark matter considered the effects of small modulations only either within the quasi-Dirac type [8] or within the Majorana type [9] on neutrino flavor oscillation experiments or cosmological observables. Our study differs from the existing works in that it is the first proposal of alternating the neutrino type between the Dirac and Majorana.
READ FULL LENGTH PAPER









Comments